Thursday, December 11, 2025

ITI Exam

आईटीआई परीक्षा की बेहतर तैयारी

ITI Exam

आईटीआई परीक्षा की बेहतर तैयारी

ITI CBT Exam Paper

ITI Information & Communication Technology System Maintenance (ICTSM) 1st Year CBT Exam Practice Paper 4

Q1.How can you confirm a transistor as defective? / आप एक ट्रांजिस्टर को दोषपूर्ण होने की पुष्टि कैसे कर सकते हैं?
Q2. Find the current (I₃) using Kirchhoff’s current law. / किरचॉफ के धाराके नियम का उपयोग , करके धारा (I₃) का पता लगाएं?
Q3. Which material is used as electrical insulator? / विद्युत इन्सुलेटर के रूप में किस सामग्री का उपयोग किया जाता है?
Q4.Which kind of battery is used by current laptop? / वर्तमान लेपटॉप में किस प्रकार की बैटरी का उपयोग किया जाता है?
Q5. Which representation provides CRO? / कौन सा प्रतिनिधित्व CRO प्रदान करता है?
Q6. Which is based on fifth generation computing devices? /. जो पांचवीं पीढ़ी के कंप्यूटिंग उपकरणों पर आधारित है?
Q7. Which menu is used, to insert a picture in MS word? / किस मीनू का उपयोग करके एमएस वर्ड मे एक पिक्चर को इन्सर्ट कीया जा सकता हे?
Q8. Which is called volatile memory? / जिसे वाष्पशील मेमोरी कहा जाता है?
Q9. What are the menu driven utilities of CMOS setup programme? / CMOS सेटअप प्रोग्रामी की मीनू संचालित अपयोगिताएं क्या है?
Q10. What is the advantage of using digital multimeter? / डिजिटल मल्टीमीटर का उपयोग करने का क्या लाभ है?
Q11. What is the range of DC voltage output of battery charger of laptop? / लैपटॉप की बैटरी चार्जर के डी सी वोल्टेज आउट पुट की सीमा क्या है?
Q12. What is the shortcut key to check all mail item in outlook? / ऑउट लुक में सभी मेल आइटम की जॉंच करने के लिए शार्टकट की क्या है?
Q13. Express card is also known as________. / एक्सप्रेस कार्ड को _________के रूप में भी जाना जाता है।
Q14. What is the colour of positive electrode in fully charged lead acid battery? / पूरी तरह से चार्ज लीड एसिड बैटरी में सकारात्मक इलेक्ट्रोड का रंग क्या है?
Q15. What is the relationship between primary voltage (E₁, V₁) and secondary voltage (E₂, V₂) in a ideal transformer? / एक आदर्श ट्रांसफार्मर में प्राथमिक वोल्टेज (ई (E₁, V₁) और माध्यमिक वोल्टेज (E₂, V₂)के बीच क्या संबंध है?
Q16. A GUI is a interface that provides graphical two way communication between the________. / GUI एक इंटरफेस है जो दोनों के बीच ग्रफिकल टू वे कम्युनिकेशन …….. प्रदान करता है।
Q17. Which device is first removed during hardware trouble shooting of laptop? / कौन सी डिवाइस पहले निकाल दी जाती हैजब हम लैपटॉप की मुरम्मत करते है?
Q18. Which of the following accessory program is primarily a text editor? / निम्नलिखित में से कौन सा सहायक कार्यक्रम मुख्य रूप से एक पाठ संपादक है?
Q19. What is the full form of UJT? / UJT का पूर्ण रूप क्या है?
Q20. What is the effect on the current flow with increased diameter of conductor? / चालक के बढ़े हुए व्यास के साथ , धारा प्रवाह पर क्या प्रभाव होता है?
Q21.What is the full form of RAID? / RAID का पूरा नाम क्या है?
Q22. What is the meaning of first letter indicated in the transistor code number BC 107? / ट्रांजिस्टर कोड संख्या BC 107 में इंगित पहले अक्षर का अर्थ क्या है?
Q23. Which one of the following is volatile memory? / निम्नलिखित में से कौन सी वोलेटाईल मैमोरी है?
Q24. What is the effective capacitance for three capacitors connected in parallel? / समानांतर में जुड़े तीन संधारित्र के लिए प्रभावी धारीता क्या होगी ?
Q25. What is the use of flip - flop? / फ्लिप - फ्लॉप का उपयोग है?
Q26. Which energy is converted by the battery to produce electricity? / विद्युत उत्पादन के लिए बैटरी को किस ऊर्जा द्वारा परिवर्तित किया जाता है?
Q27. What are most common entry points used by virus? / वायरस द्वारा उपयोग किए जाने वाले सबसे आम प्रवेश बिंदु क्या हैं?
Q28. Which condition is called as resonance RLC circuit? / किस स्थिति को अनुनाद आरएलसी सर्किट कहा जाता है?
Q29. In laptop mouse is replaced by_______. | लैपटॉप में माउस ……….. के द्वारा प्रति स्थापित किया जाता है।
Q30. What is the full form of PIPO in registers? / रजिस्टर में PIPO का पूर्ण रूप क्या है?
Q31. Which one of the following is not an operating system? / निम्नलिखित में से कौन सा एक ऑपरेटिंग सिस्टम नहीं है?
Q32. What do you understand by file properties? / फाइल प्रोपर्टी से आप क्या समझते है?
Q33. Which is voltage controlled device? / वोल्टेज नियंत्रित उपकरण कौन सा है?
Q34. What is the full form of BCC? / BCC का पूरा नाम क्या है?
Q35. FAT stands for ________. / FAT का पूरा नाम …….. है।
Q36. What is the full form of JFET? / JFET का पूर्ण रूप क्या है?
Q37. The operating system comes under________. / ऑपरेटिंग सिस्टम के _____ अंतर्गत आता है।
Q38. Which type of user has full permission? / किस प्रकार के उपयोगकर्ता के पास पूर्ण अनुमति हेाती है?
Q39. Pentium 4 processor is used for which motherboard from factor? / पेंटियम 4 प्रोंससर का उपयोग किस मदरबोर्ड के कारक के रूप में किया जाता है?
Q40. What is the colour code for 100 Ω resistor? / 100 ओह्म प्रतिरोध के लिए कलर कोड क्या होगा?
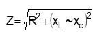
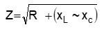
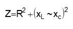
Q41. Which formula is used to calculate the impedance (z) of a RLC series circuit? / RLC श्रेणी सर्किट के प्रतिबाधा (z) की गणना करने के लिए किस सूत्र का उपयोग किया जाता है?
Q42. What is the composition of steel and silicon steel in transformer core? / ट्रांसफार्मर कोर में स्टील और सिलिकॉन स्टील की संरचना केसे होती है?
Q43. How many partitions must each hard disk have(at least)? / प्रत्येक हार्ड डिस्क मे (कम से कम) कितने विभाजन होने चाहिए?
Q44. What is the full form of the abbreviation RTD used as a sensor? / सेंसर के रूप में उपयोग किए जाने वाले संक्षिप्त नाम RTD का पूर्ण रूप क्या है?
Q45. What is the kind of road sign? / निम्न प्रकार का सड़क का चिन्ह किस तरह का है?
Q46. Which device converts a barcode image into an alphanumeric value? / कौन सा उपकरण बारकोड इमेज को अल्फ़ान्यूमेरिक वैल्यू में परिवर्तित करता है?
Q47. SATA stands for? / SATA का पूरा नाम क्या है?
Q48. What is the type of amplifier configuration? / एम्पलीफायर कॉन्फ़िगरेशन का प्रकार क्या है?
Q49. What is the full form of FET? / FET का पूर्ण रूप क्या है?
Q50.; What is the use of resistor? / प्रतिरोध का उपयोग क्या है?
Information & Communication Technology System Maintenance 1st year cbt exam paper 4
You got {{userScore}} out of {{maxScore}} correct
{{title}}
{{image}}
{{content}}
Youtube Click here
Telegram Group Join Now
Whatsapp Group Join Now
Facebook Group Join Now
Instagram Follow
Application Download Now

Leave a Reply

Your email address will not be published. Required fields are marked *