Tuesday, November 11, 2025

ITI Exam

आईटीआई परीक्षा की बेहतर तैयारी

ITI Exam

आईटीआई परीक्षा की बेहतर तैयारी

ITI CBT Exam Paper

ITI Information & Communication Technology System Maintenance (ICTSM) 1st Year CBT Exam Practice Paper 5

Q1. Which impurity is added to pure semiconductor to form ‘N-type’ material? / ʹएन-प्रकार ʹ सामग्री बनाने के लिए शुद्ध अर्धचालक में कौन सी अशुद्धता जोड़ी जाती है?
Q2. What is the type of UPS? / UPS का प्रकार क्या है?
Q3. Which feature is used to adjust the amount of space between words for alignment in MS Word? / MS Word में संरेखण के लिए शब्दों के बीच की जगह को समायोजित करने के लिए किस सुविधा का उपयोग किया जाता है?
Q4. What is the name of the type of resistor? / प्रतिरोध के प्रकार का नाम क्या है?
Q5. SATA stands for? / SATA का पूरा नाम क्या है?
Q6. A computer system may sometimes show error message related to date and time which is due to_______. / एक कंप्यूटर सिस्टम कभी-कभी दिनांक और समय से संबधिम त्रुटि करण संदेश दिखा सकता है जो _____ के कारण होता है।
Q7. Malware is an abbreviated term meaning____. / मालवेयर का एक संक्षिप्त अर्थ …….. है।
Q8. Which is used for high power applications? / उच्च शक्ति अनुप्रयोगों के लिए किसका उपयोग किया जाता है?
Q9. What is the purpose of using laminated core in transformer? / ट्रांसफार्मर में लेमीनेट कोर का उपयोग करने का उद्देश्य क्या है?
Q10. What is the current through the zener diode with full load condition? / पूर्ण लोड की स्थिति के साथ जेनर डायोड के माध्यम से धारा क्या होगी ?
Q11. What is the operating frequency of linear DC Regulated power supply? / लीनियर DC रेगुलेटेड पावर सप्लाई की ऑपरेटिंग फ्रीक्वेंसी क्या है?
Q12. What is the composition of steel and silicon steel in transformer core? / ट्रांसफार्मर कोर में स्टील और सिलिकॉन स्टील की संरचना केसे होती है?
Q13. The concentric circle on a disk is called a______. / किसी डिस्क पर संकेद्रित वृत ______ कहलाता है।
Q14. ______ is a pointing device. / ……….. एक पॉइंटिंग डिवाइस है।
Q15. What is the decimal number for the binary number 0101? / बाइनरी नंबर 0101 के लिए दशमलव संख्या क्या है?
Q16. Speaker is a_____. / स्पीकर .............. एक है।
Q17. What is the formula used to calculate the current gain (α) of common base amplifier? / कॉमन बेस एम्पलीफायर के करंट लाभ (α) की गणना करने के लिए उपयोग किया जाने वाला सूत्र क्या है?
Q18. Voltage uses by DDR2 RAM is_____. / DDR2 रैंम में _____ वोल्टेज प्रयोग होती है|
Q19. Calculate the total capacitance value in the circuit. / सर्किट में कुल धारीता की मान की गणना कीजीये.
Q20. Which menu has page column in MS word? / एमएस वर्ड मे किस मीनू पर पेज कॉलम होता हे?
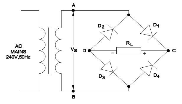
Q21. What is the name of the circuit diagram? / सर्किट आरेख का नाम क्या है?
Q22. What is the full form of BCC? / BCC का पूरा नाम क्या है?
Q23. Which formula is used to calculate the impedance (z) of a RLC series circuit? / RLC श्रेणी सर्किट के प्रतिबाधा (z) की गणना करने के लिए किस सूत्र का उपयोग किया जाता है?
Q24. What does the power good signal section of SMPS do? / एसएमपीएस की पॉवर अच्छा संकेत अनुभाग क्या करता है?
Q25. Which representation provides CRO? / कौन सा प्रतिनिधित्व CRO प्रदान करता है?
Q26. Which type of data we may recover? / हम किस प्रकार का डाटा पुन: प्राप्त कर सकते है?
Q27. Which bonding material is used for soldering a joint? / एक सोल्डर जोड़ लगाने के लिए कौन सी बंध सामग्री का उपयोग किया जाता है?
Q28. Which of the following is not an input device? / निम्नलिखित में से कौन सी इनपुट डिवाइस नहीं है?
Q29. Which method of magnetization is used to make commercial purpose permanent magnets? / मैग्नेटाइजेशन की किस विधि का उपयोग वाणिज्यिक उद्देश्य को स्थायी चुंबक बनाने के लिए किया जाता है?
Q30. What are the key feature of wing outlook? / आउटलुक का उपयोग करने की प्रमुख विशेष्ताएं क्या है?
Q31. Socket 2011 is used for________. / सॉकेट 2011 ……….. के लिए प्रयोग की जाती है।
Q32. Booting by pressing the power button of the computer is also known as________. / कंप्यूटर के पॉवर बटन को बूट करने को ______ के रूप में भी जाना जाता है।
Q33. What type of ripple filter circuit is used for large load current requirements? / अधिक लोड करंट आवश्यकताओं के लिए किस प्रकार के रिपल फिल्टर का सर्किट का उपयोग किया जाता है?
Q34. In excel print option is available under__. / एक्सेल में प्रिंट विकल्प ....... के तहत उपलब्ध होता है।
Q35. Where does the file name of the active document displays? / सक्रिय दस्तावेज़ का फ़ाइल नाम कहाँ प्रदर्शित होता है?
Q36. What is the type of transformer? / ट्रांसफार्मर का प्रकार क्या है?
Q37. Which port used for printer connection? / प्रिंटर कनेक्शन के लिए किस पोर्ट का उपयोग किया जाता है?
Q38. Which is called volatile memory? / जिसे वाष्पशील मेमोरी कहा जाता है?
Q39. What is the name of effect of changing current in one coil, induces EMF in nearby coil? / एक कॉइल में धारा बदलने के प्रभाव पर पास के कॉइल में EMF को प्रेरित होने वाले प्रभाव का नाम क्या हे?
Q40. The controller section of SMPS consists of_______. / SMPS के निंयत्रण अनुभाग ……... में शामिल है|
Q41. What is the current gain of a common - base amplifier? / एक कॉमन बेस प्रवर्धक का करंट गेन क्या है?
Q42. What is the use of flip - flop? / फ्लिप - फ्लॉप का उपयोग है?
Q43. Which is based on fifth generation computing devices? / जो पांचवीं पीढ़ी के कंप्यूटिंग उपकरणों पर आधारित है?
Q44. Which is also known as small signal amplifiers? / किसे निम्न सिग्नल एम्पलीफायरों के रूप में भी जाना जाता है?
Q45. Which is the output pin number IC 555 timer? / IC 555 टाइमर मे आउटपुट पिन नंबर कौन सा है?
Q46. Which symbol is used to execute formulas in MS Excel? / एमएस एक्सेल मे किस सिंबल का प्रयोग फोमुला को संपादित करने के लिए किया जाता हे?
Q47. What is the full form of the abbreviation UPS? / संक्षिप्त नाम यूपीएस का पूर्ण रूप क्या है?
Q48. How much data we can store In a CD? / हम एक CD में कितना डेटा स्टोर कर सकते हैं?
Q49. Which type of relay is used in voltage stabilizer? / वोल्टेज स्टेबलाइजर में किस प्रकार के रिले का उपयोग किया जाता है?
Q50. Which of the following is one way of opening window explorer? / निम्न में से कौन सा विंडो एक्सप्लोरर खोलने का एक तरीका है?
Information & Communication Technology System Maintenance 1st year cbt exam paper 5
You got {{userScore}} out of {{maxScore}} correct
{{title}}
{{image}}
{{content}}
Youtube Click here
Telegram Group Join Now
Whatsapp Group Join Now
Facebook Group Join Now
Instagram Follow
Application Download Now

Leave a Reply

Your email address will not be published. Required fields are marked *