Wednesday, April 29, 2026

ITI Exam

आईटीआई परीक्षा की बेहतर तैयारी

ITI Exam

आईटीआई परीक्षा की बेहतर तैयारी

ITI CBT Exam Paper

ITI Information & Communication Technology System Maintenance (ICTSM) 1st Year CBT Exam Practice Paper 3

Q1. Which energy is converted by the battery to produce electricity? / विद्युत उत्पादन के लिए बैटरी को किस ऊर्जा द्वारा परिवर्तित किया जाता है?
Q2. What is the full form of LDR in resistors? / प्रतिरोधों में LDR का पूर्ण रूप क्या है?
Q3. Which is most complicated part of your computer sound system? / आपके कंप्यूटर साउंड सिस्टम का सबसे जटिल हिस्सा कौन सा है?
Q4. Which tool works on the principle of air suction? / वायु सक्शन के सिद्धांत पर कौन सा उपकरण काम करता है?
Q5. What is the decimal conversion number for the octal number (2374)₈? / अष्टक संख्या (2374)₈ के लिए दशमलव रूपांतरण संख्या क्या है?
Q6. What is the decimal number for the binary number 0101? / बाइनरी नंबर 0101 के लिए दशमलव संख्या क्या है?
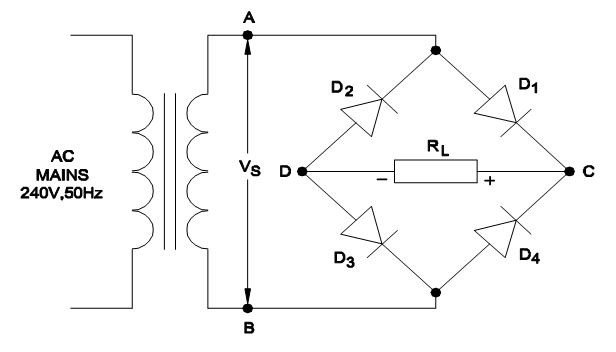
Q7. What is the name of the circuit diagram? / सर्किट आरेख का नाम क्या है?
Q8. SSD use,____ for data storage. / SSD का उपयोग डेटा भंडारण के लिए ____ होता है।
Q9. In excel print option is available under__. / एक्सेल में प्रिंट विकल्प ....... के तहत उपलब्ध होता है।
Q10. Main circuit board of system unit is called_______. / सिस्टम यूनिट का मेन सर्किट बोर्ड ………. कहलाता है।
Q11.What is the name of the symbol? / प्रतीक का नाम क्या है?
Q12. What is the most widely used CMOS battery model? / CMOS बैटरी का कौन सा मॉडल ज्यादातर प्रयोग किया जाता है?
Q13. During software installation we should keep attention about ____. / सॉफ्टवेयर इंस्टॉलेशन के दौरान हमें ……… ध्यान रखना चाहिए।
Q14. What type of ripple filter circuit is used for large load current requirements? / अधिक लोड करंट आवश्यकताओं के लिए किस प्रकार के रिपल फिल्टर का सर्किट का उपयोग किया जाता है?
Q15. What is the full form of the abbreviation UPS? / संक्षिप्त नाम यूपीएस का पूर्ण रूप क्या है?
Q16. What is the shortcut key to check all mail item in outlook? / ऑउट लुक में सभी मेल आइटम की जॉंच करने के लिए शार्टकट की क्या है?
Q17. Express card is also known as________. | एक्सप्रेस कार्ड को _________के रूप में भी जाना जाता है।
Q18. Which tab is used to change the display of worksheet area and the data it contains? / वर्कशीट क्षेत्र के प्रदर्शन और इसमें मौजूद डेटा को बदलने के लिए किस टैब का उपयोग किया जाता है?
Q19. Which of the following is not an input device? / निम्नलिखित में से कौन सी इनपुट डिवाइस नहीं है?
Q20. How many partitions must each hard disk have(at least)? / प्रत्येक हार्ड डिस्क मे (कम से कम) कितने विभाजन होने चाहिए?
Q21. Which one of the following is not an operating system? / निम्नलिखित में से कौन सा एक ऑपरेटिंग सिस्टम नहीं है?
Q22. Which is two terminal device? / दो टर्मिनल डिवाइस कौन सा है?
Q23. Which of the following accessory program is primarily a text editor? / निम्नलिखित में से कौन सा सहायक कार्यक्रम मुख्य रूप से एक पाठ संपादक है?
Q24. What is the unit of resonance frequency? / अनुनाद आवृत्ति की इकाई क्या है?
Q25. What is the type of converter? / कनवर्टर का प्रकार क्या है?
Q26. What is the purpose of undo action in MS word? / एमएस वर्ड मे अनडू एकशन का क्या पर्याय हे?
Q27. What are the function of operating system? / ऑपरेटिंग सिस्टम का क्या कार्य है?
Q28. What is the formula used to calculate the current gain (α) of common base amplifier? / कॉमन बेस एम्पलीफायर के करंट लाभ (α) की गणना करने के लिए उपयोग किया जाने वाला सूत्र क्या है?
Q29. Which function control in CRO, adjust the trace sharper? / सीआरओ में कौन सा फ़ंक्शन नियंत्रण, ट्रेस शार्पर को समायोजित करता हे ?
Q30. What is the disadvantage of the two diode full wave rectifier compared with a bridge rectifier? / ब्रिज रेक्टिफायर की तुलना में दो डायोड फुल वेव रेक्टिफायर के हानी क्या है?
Q31. What is the data transfer rate of DDR 3 memory module? / DDR 3 मैमोरी मॉडयूल की ट्रांसफर दर क्या है?
Q32. Which of the following is one way of opening window explorer? / निम्न में से कौन सा विंडो एक्सप्लोरर खोलने का एक तरीका है?
Q33. What is the full form of MBR? / MBR का पूरा नाम क्या है?
Q34. What is the full form of CRO? / CRO का पूर्ण रूप क्या है?
Q35. Which electrolyte is used in lead-acid battery? / लीड-एसिड बैटरी में किस इलेक्ट्रोलाइट का उपयोग किया जाता है?
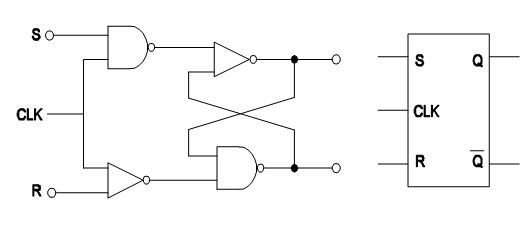
Q36. What is the type of flip-flop circuit? / फ्लिप-फ्लॉप सर्किट का प्रकार क्या है?
Q37. The concentric circle on a disk is called a______. / किसी डिस्क पर संकेद्रित वृत ______ कहलाता है।
Q38. Voltage uses by DDR2 RAM is_____. / DDR2 रैंम में _____ वोल्टेज प्रयोग होती है|
Q39, Which is having three terminals for MT1, MT2 and Gate? / MT1, MT2 और गेट के लिए तीन टर्मिनल किसके हैं?
Q40. Which one of the following is volatile memory? / निम्नलिखित में से कौन सी वोलेटाईल मैमोरी है?
Q41. What are the benefits to update operating system? / ऑपरेटिंग सिस्टम को अपडेट करने के क्या लाभ है?
Q42. Which disposal method of waste save a lot of energy? / कचरे के निपटान की कौन सी विधि बहुत ऊर्जा बचाती है?
Q43. What is the total voltage of six 1.5 V cells, connected in series? / श्रेणी में जुड़े छह 1.5 V सेल का कुल वोल्टेज क्या है?
Q44. What is the efficiency of linear power supply? / रैखिक विद्युत आपूर्ति की दक्षता क्या है?
Q45. What is the use of flip - flop? / फ्लिप - फ्लॉप का उपयोग है?
Q46. What is the effect on the current flow with increased diameter of conductor? / चालक के बढ़े हुए व्यास के साथ , धारा प्रवाह पर क्या प्रभाव होता है?
Q47. A computer system may sometimes show error message related to date and time which is due to_______. / एक कंप्यूटर सिस्टम कभी-कभी दिनांक और समय से संबधिम त्रुटि करण संदेश दिखा सकता है जो _____ के कारण होता है।
Q48. SATA stands for? | SATA का पूरा नाम क्या है?
Q49. How many pins are available in SATA power connector of SMPS? / एस एम पी एस के SATA पॉवर कनेक्टर में कितने पिन उपलब्ध है?
Q50. What is the type of amplifier configuration? / एम्पलीफायर कॉन्फ़िगरेशन का प्रकार क्या है?
Information & Communication Technology System Maintenance 1st year cbt exam paper 3
You got {{userScore}} out of {{maxScore}} correct
{{title}}
{{image}}
{{content}}
Youtube Click here
Telegram Group Join Now
Whatsapp Group Join Now
Facebook Group Join Now
Instagram Follow
Application Download Now

Leave a Reply

Your email address will not be published. Required fields are marked *