Wednesday, April 29, 2026

ITI Exam

आईटीआई परीक्षा की बेहतर तैयारी

ITI Exam

आईटीआई परीक्षा की बेहतर तैयारी

ITI CBT Exam Paper

ITI Information & Communication Technology System Maintenance (ICTSM) 1st Year CBT Exam Practice Paper 2

Q1. What is the full form of the abbreviation UPS? / संक्षिप्त नाम यूपीएस का पूर्ण रूप क्या है?
Q2. Which one of the following is popular word processor? / निम्न में से एक प्रसिद्ध बर्ड प्रोसेसर है?
Q3. How much data we can store In a CD? / हम एक CD में कितना डेटा स्टोर कर सकते हैं?
Q4. The speed of processor is also known as________. / प्रोससर की गति को ………. जाता है।
Q5. Which battery is used for cellular phones? / सेलुलर फोन के लिए किस बैटरी का उपयोग किया जाता है?
Q6. System configuration can change and changes can be stored in_____. / सिस्टम कॉन्फिगरेशन बदल सकता है और परिवर्तन ____ में संग्रहित किए जा सकते है।
Q7. Which tab is used to change the display of worksheet area and the data it contains? / वर्कशीट क्षेत्र के प्रदर्शन और इसमें मौजूद डेटा को बदलने के लिए किस टैब का उपयोग किया जाता है?
Q8. What is the shortcut key to check all mail item in outlook? / ऑउट लुक में सभी मेल आइटम की जॉंच करने के लिए शार्टकट की क्या है?
Q9. Which function control in CRO, adjust the trace sharper? / सीआरओ में कौन सा फ़ंक्शन नियंत्रण, ट्रेस शार्पर को समायोजित करता हे ?
Q10. Which property of the capacitor stores electrical energy in electrostatic field? / संधारित्र की कौन सा गुण इलेक्ट्रोस्टैटिक क्षेत्र में विद्युत ऊर्जा संग्रहीत करती है?
Q11. What is the name of program which runs in the background of Linux operating system? / लिनक्स ऑपरेटिंग सिस्टम की बैकग्राउंड में चलने वाले प्रोग्राम का नाम क्या है?
Q12. Which factor determines the inductance value? / कौन सा कारक प्रेक्रत्व का मान निर्धारित करता है?
Q13. Which is example of semiconductor material? / सेमीकंडक्टर सामग्री का उदाहरण कौन सा है?
Q14. Calculate the total capacitance value in the circuit. / सर्किट में कुल धारीता की मान की गणना कीजीये.
Q15. What is the status of the transistor in the circuit? / सर्किट में ट्रांजिस्टर की स्थिति क्या है?
Q16. Which type of transformer is used in the DC to AC converter? / डीसी से एसी कन्वर्टर में किस प्रकार के ट्रांसफार्मर का उपयोग किया जाता है?
Q17. What is the name of the soldering iron tip? / सोल्डर आयरन की टिप का नाम क्या है?
Q18. How batteries are rated? / बैटरी की रेटिंग किसमे की जाती हैं?
Q19. What is the effective capacitance for three capacitors connected in parallel? / समानांतर में जुड़े तीन संधारित्र के लिए प्रभावी धारीता क्या होगी ?
Q20. Which is most complicated part of your computer sound system? / आपके कंप्यूटर साउंड सिस्टम का सबसे जटिल हिस्सा कौन सा है?
Q21. Which rectifier circuit uses for four diodes? / चार डायोड के लिए किस रेक्टिफायर सर्किट का उपयोग किया जाता है?
Q22. What is called intersection of row and column in MS Excel? /; एमएस एक्सेल मे रॉ एवं कॉलम के मिलाप को क्या कहते हे?
Q23.Which directory name is used to contain system configuration files in Linux operating system? / लिनक्स ऑपरेटिंग सिस्टम में सिस्टम कॉन्फिगरेशन फाइल को सम्मिलित करने के लिए किस डिरेक्टरी के नाम का उपयोग किया जाता है?
Q24. What is the unit of resonance frequency? / अनुनाद आवृत्ति की इकाई क्या है?
Q25. Which type of amplifier in used to operate the loud speaker? / लाउड स्पीकर को संचालित करने के लिए किस प्रकार के एम्पलीफायर का उपयोग किया जाता है?
Q26. During the booting process operating system is copied from hard disk to___. / बूटिंग प्रक्रिया के दौरान आूपरेटि सिस्टम को हार्डडिस्क …. से कॉपी किया जाता है|
Q27. Find the total inductance value of two inductors 10H and 15H of connected in series. / श्रेणी में जुड़े दो प्रेरक 10H और 15H के कुल प्रेरक्रत्व का मान ज्ञात कीजीये।
Q28. Which parameter is maintained constant in zener diode? / जेनर डायोड में कौन सा पैरामीटर स्थिर होता है?
Q29. Find the current (I₃) using Kirchhoff’s current law. / किरचॉफ के धाराके नियम का उपयोग , करके धारा (I₃) का पता लगाएं?
Q30. How the resonance frequency (fr) can be increased in AC series circuit? / एसी श्रेणी सर्किट में अनुनाद आवृत्ति (fr) को कैसे बढ़ाया जा सकता है?
Q31. Pentium 4 processor is used for which motherboard from factor? / पेंटियम 4 प्रोंससर का उपयोग किस मदरबोर्ड के कारक के रूप में किया जाता है?
Q32. Which artificial respiration method to be avoided to a person with abdomen injury? / पेट की चोट वाले व्यक्ति को किस कृत्रिम श्वसन विधि से बचना चाहिए?
Q33. What is the colour of positive electrode in fully charged lead acid battery? / पूरी तरह से चार्ज लीड एसिड बैटरी में सकारात्मक इलेक्ट्रोड का रंग क्या है?
Q34. Which computers contains features of desktop PCs but are light in weight and portable? / किन कंप्यूटरों में डेस्कटॉप पीसी की विशेषताएं होती हैं, लेकिन वजन और पोर्टेबल में हल्के होते हैं?
Q35. Which configuration of transistor amplifier is most commonly used in electronic circuits? / ट्रांजिस्टर एम्पलीफायर का कौन सा विन्यास इलेक्ट्रॉनिक सर्किट में सबसे अधिक उपयोग किया जाता है?
Q36. What is the limitation of integrated circuits? / एकीकृत सर्किट की सीमा क्या है?
Q37. What is the full form of the abbreviation RTD used as a sensor? / सेंसर के रूप में उपयोग किए जाने वाले संक्षिप्त नाम RTD का पूर्ण रूप क्या है?
Q38. Which sensor detect the presence of objects without any physical contact? / कौन सा सेंसर बिना किसी भौतिक संपर्क के वस्तुओं की उपस्थिति का पता लगाता है?
Q39. What is the type of transformer? / ट्रांसफार्मर का प्रकार क्या है?
Q40. Which one of the following is non volatile memory? ./ निम्नलिखित में से कौन सी नॉन वोलेटाईल मैमोरी है?
Q41. Where does all deleted files go? / सभी डिलीट की गई फ़ाइलें कहाँ जाती हैं?
Q42. Which is two terminal device? ./ दो टर्मिनल डिवाइस कौन सा है?
Q43. What is the range of specific gravity of lead acid battery, under discharged condition? / डिस्चार्ज स्थिति मे सीसा एसिड बैटरी के विशिष्ट गुरुत्व की परास क्या होगी?
Q44. Which component opposes any change in current? / कौन सा घटक धारा में किसी भी परिवर्तन का विरोध करता है?
Q45. The concentric circle on a disk is called a______. / किसी डिस्क पर संकेद्रित वृत ______ कहलाता है।
Q46. Which of the following is not an input device? / निम्नलिखित में से कौन सी इनपुट डिवाइस नहीं है?
Q47. Where is taskbar located in a system? / सिस्टम में टास्कबार कहाँ स्थित होता है?
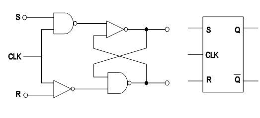
Q48. What is the type of flip-flop circuit? / फ्लिप-फ्लॉप सर्किट का प्रकार क्या है?
Q49. Which command is used to cut selected text? / चयनित टैक्सट को कट करने के लिए कौन सी कमांड उपयोग की जाती है?
Q50. Which port used for printer connection? / प्रिंटर कनेक्शन के लिए किस पोर्ट का उपयोग किया जाता है?
Information & Communication Technology System Maintenance 1st year cbt exam paper 2
You got {{userScore}} out of {{maxScore}} correct
{{title}}
{{image}}
{{content}}
Youtube Click here
Telegram Group Join Now
Whatsapp Group Join Now
Facebook Group Join Now
Instagram Follow
Application Download Now

Leave a Reply

Your email address will not be published. Required fields are marked *